-
Inquiry - tert-Butyl peroxybenzoate (TBPB)
CAS 614-45-9
- Molecular Formula: C₁₁H₁₄O₃
- Molecular Weight: 194.2
- UN No.: 3103
-
- In suspension polymerization processes for styrene and styrene-based copolymers, TBPB is often used alongside benzoyl peroxide (BPO) to initiate the reaction, ensuring consistent and high-quality results.
-
Inquiry - tert-Butyl peroxy 2 ethylhexanoate (TBPEH)
CAS 3006-82-4
- Molecular Formula: C₁₂H₁₄O₃
- Molecular Weight: 216.4
- UN No.: 3113
-
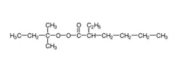
- Frequently used as a reliable initiator in both autoclave and tubular processes for ethylene polymerization. It also serves as an initiator for acrylates and methacrylates, functioning within a temperature range of 80-150°C.
-
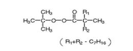
Inquiry - Cumyl peroxyneodecanoate (CPND)
CAS 26748-47-0
- Molecular Formula: C₁₉H₃₀O₃
- Molecular Weight: 306.4
- UN No.: 3115
-
- CPND is a highly efficient initiator used in the polymerization of low-density polyethylene (LDPE). It is suitable for both tubular and autoclave processes, with an optimal working temperature range between 130°C and 170°C.
-
Inquiry - Bis(2-ethylhexyl) peroxydicarbonate (EHP)
CAS 16111-62-9
- Molecular Formula: C₁₈H₃₄O₆
- Molecular Weight: 346.5
- UN No.: 3119
-
- EHP is one of the most widely used initiators in the aqueous suspension polymerization of vinyl chloride. When combined with other initiators like LQ-CPND and LQ-LPO, it enhances reaction activity, operating at temperatures between 40°C and 65°C.
-
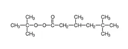
Inquiry - tert-Butyl peroxyneodecanoate (TBPD)
CAS 13052-09-0
- Molecular Formula: C₁₄H₂₈O₃
- Molecular Weight: 244.4
- UN No.: 3115
-
- Serves as a reliable high-temperature curing agent for unsaturated polyester resins, widely applied in the production of resins and related materials.
- This chemical compound is also used as an initiator in the polymerization of vinyl chloride, styrene, and their copolymers, as well as for methacrylates and vinyl acetate.
-
Inquiry - tert-Amyl peroxypivalate (TAPV)
CAS 29240-17-3
- Molecular Formula: C₁₀H₂₀O₃
- Molecular Weight: 188.3
- UN No.: 3113
-
- TAPV is an effective initiator used in both tubular and autoclave polymerization processes for high-pressure ethylene production.
- Suitable for suspension polymerization of vinyl chloride (PVC) at temperatures between 50°C and 70°C, ensuring efficient reaction control.
-
Inquiry - tert-Amyl peroxy-2-ethylhexanoate (TAPEH)
CAS 686-31-7
- Molecular Formula: C₁₃H₂₆O₃
- Molecular Weight: 230.3
- UN No.: 3115
-
- TAPEH is commonly used as an initiator for the polymerization of acrylates and methacrylates, making it suitable for various polymerization processes across multiple industries.
- It also functions as a reliable initiator for styrene and acrylonitrile polymerizations, playing a significant role in the production of EVA copolymers.
-
Inquiry - tert-Butyl peroxy-3,5,5-trimethylhexanoate (TBPMH)
CAS 13122-18-4
- Molecular Formula: C₁₃H₂₆O₃
- Molecular Weight: 230.3
- UN No.: 3105
-
- TBPMH is frequently used as an initiator in the polymerization processes for styrene and its copolymers, ensuring stable results within a temperature range of 90-140°C.
- This compound is effective in initiating polymerization reactions for acrylates and methacrylates, with a working range of 100-175°C, making it suitable for various production environments.
-
Inquiry - tert-Butylperoxy 2-ethylhexyl carbonate (TBEC)
CAS 34443-12-4
- Molecular Formula: C₁₃H₂₆O₄
- Molecular Weight: 246.3
- UN No.: 3105
-
- Suitable for polymerization processes involving acrylates and methacrylates, with a working temperature range between 100-170°C, making it highly versatile across various applications.
- TBEC is a preferred curing agent for hot-press molding processes like SMC, BMC, and ZMC, with temperatures between 120-170°C. It ensures good product durability while being environmentally safe.
-
Inquiry - tert-Butyl peroxyacetate (TBPA)
CAS 107-71-1
- Molecular Formula: C₆H₁₂O₃
- Molecular Weight: 132.18
- UN No.: 3103
-
- Excellent low-temperature initiator for high-pressure polyethylene (LDPE) production, especially suited for tubular reactor processes. When used together with other initiators like LQ-TBPV (tert-butyl peroxyvalerate), LQ-TBPEH (tert-butyl peroxy-2-ethylhexanoate), and LQ-TBPB (tert-butyl peroxybenzoate), it enhances the overall polymerization process, improving efficiency and end-product quality.
-
Inquiry - tert-Amyl peroxyacetate (TAPA)
CAS 690-83-5
- Molecular Formula: C₇H₁₄O₃
- Molecular Weight: 146.20
- UN No.: 3107
-
- This peroxide is an effective low-temperature initiator for high-pressure polyethylene (LDPE) polymerization, primarily used in tubular processes. It can be combined with other initiators like LQ-TBPV (tert-butyl peroxyvalerate), LQ-TBPEH (tert-butyl peroxy-2-ethylhexanoate), and LQ-TBPB (tert-butyl peroxybenzoate) to enhance polymerization efficiency.
-
Inquiry - tert-Amylperoxy 2-ethylhexyl carbonate (TAEC)
CAS 70833-40-8
- Molecular Formula: C₁₄H₂₈O₄
- Molecular Weight: 260.4
- UN No.: 3105
-
- TAEC is a versatile compound often used in enhancing the crosslinking properties of EVA (Ethylene Vinyl Acetate), improving its stability and performance. It is also a reliable initiator for styrene polymerization, contributing to efficient reaction rates and improved material properties.
-
Inquiry - tert-Butyl peroxyisopropylcarbonate (TBIC)
CAS 2372-21-6
- Molecular Formula: C₈H₁₆O₄
- Molecular Weight: 176.2
- UN No.: 3103
-
- TBIC is a polymerization initiator, widely used in the production of polymers such as PVC, LDPE, ABS, PS, and PMMA. It enhances the polymerization process, providing efficient initiation for various types of plastics and resins.
-
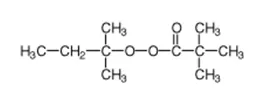
Inquiry - tert-Butyl peroxypivalate (TBPV)
CAS 927-07-1
- Molecular Formula: C₉H₁₈O₃
- Molecular Weight: 174.2
- UN No.: 3113
-
- TBPV is a highly efficient initiator for the polymerization of ethylene, used in high-pressure tubular and stirred reactor processes.
- It functions as an effective initiator in the suspension polymerization of vinyl chloride (PVC), particularly at temperatures between 50-70°C.
-
Inquiry - Bis(4-tert-butylcyclohexyl) peroxydicarbonate (BCHPC)
CAS 15520-11-3
- Molecular Formula: C₂₂H₃₄O₆
- Molecular Weight: 398.5
- UN No.: 3114
-
- This ester peroxide compound is a new type of initiator used for the aqueous suspension polymerization of vinyl chloride. When combined with LQ-CUPN (Cumyl peroxyneodecanoate) and LQ-LPO (Lauroyl peroxide), it enhances reactivity, working efficiently within a polymerization temperature range of 40-65°C.
-
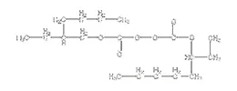
Inquiry - Butyl 4,4-di(tert-butylperoxy) valerate (VA)
CAS 995-33-5
- Molecular Formula: C₁₂H₂₆O₄
- Molecular Weight: 334.5
- UN No.: 3108
-
- Butyl 4,4-di(tert-butylperoxy) valerate serves as a highly efficient vulcanizing agent, widely recognized for its excellent scorch resistance. At a processing temperature of 125°C, the material demonstrates a rheology time of 20 minutes, and at 160°C, it cures within 12 minutes.
Chemical Auxiliary Agents















